Pages

3/30/2010

有效和了點數 revisited

統計的人都會非常清楚以下的等式

有效和了點數 = 和了率 x 和了點數

也就是你的期待值. 從小學大家都知道, 給你有限數量的圍欄, 請問如何分配圍欄才可以圍成一個最大的矩形? 答案必要是一個正方形. 因此把有效和了點數提到最高的方法就是希望你的和了率與你的和了點數相約, 大的牌必需有快的速度, 以求取得最大值.


但是這樣想似乎有點兒馬虎. 和了率跟和了點數是兩個不同的單位兩個不同的空間, 怎樣為之"相約"? 就好像部份經濟學入門書籍一樣, 他們提出一個問題:

為什麼鑽石比水貴?

他們給你的解答就是因為鑽石比水有用, 因為在一個沙漠中你需要水多於鑽石等等解釋. 但是從來沒有人反問: 鑽石怎樣比水貴? 一卡的鑽石要怎樣跟水比較? 一公升? 一公噸? 一公克的小鑽石貴還是一整個地球的水比較貴? 更別說"快"這個字其實有欠嚴謹. 什麼叫做快? 什麼叫做大? 更不必實際的是, 這不是你一個人玩的圍欄遊戲, 而有另外的三個人跟你搶的. 那應該如何處理?
現在我們就來試用一個全新的方法來看. 首先要從新看這條公式, 改寫成

有效和了點數E(S) = 和了率 p x 和了點數 g - 非和了率 (1-p) x 損失分數 L
加入損失的項目, 這樣就會現實得多.  我們再從經濟學借來彈性來處理這條等式.  
經濟學上的彈性概念是由阿爾弗萊德·馬歇爾提出的,是指一個變數相對於另一個變數發生 的一定比 例的改變的屬性。彈性用因變數的變化率與自變數的變化率之比表示。彈性的概念可以應用在所有具有因果關係的變數之間。作為原因的變數通常稱作自變數,受其作用發生改變的量稱作因變數。例如因變數x和從變數y之 間存在關係y = f(x),則yx彈性:
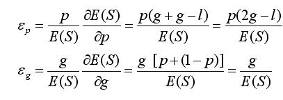
我們再將等式簡化一點, 將損失L 寫成和了點數的平移, 使得 L = g - l, 那麼

E(S) = p g - (1-p) (g-l)
他們的彈性就是

 那假設現在你牌的大小足夠進攻, 那麼
因為p 少於0.5而
如果E(S)大於零, 因此整條判別式少於零.
如果E(S)少於零, 那麼整條判別式大於零

因此, 如果你的手牌比對手小, 那你就應該加大手牌的大小
如果你的手牌大於對手, 先加大你的和了率比較有效, 那就是搶胡麻雀!?


參考
http://en.wikipedia.org/wiki/Diamond-water_paradox
http://zh.wikipedia.org/zh-tw/%E5%BC%B9%E6%80%A7_%28%E7%BB%8F%E6%B5%8E%E5%AD%A6%29

No comments: